Background
About 20-30% of patients with classical Hodgkin Lymphoma (cHL) develop relapsed or refractory disease (R/R) after initial induction therapy. The standard of care for R/R cHL involves salvage chemo- and/or immuno-therapy followed by autologous hematopoietic stem cell transplantation (ASCT), with which up to 50% of patients achieve durable remission. However, ASCT is not readily available for all patients. Safety-net hospitals disproportionately take care of minority patients who face significant barriers to care due to lack of insurance or prohibitive medical costs. With novel therapies like brentuximab vedotin (BV) and immune checkpoint inhibitors increasingly used in treating cHL, the optimal timing and role of ASCT in R/R cHL requires ongoing investigation. This study compares the demographics, treatment patterns, and survival outcomes among R/R cHL patients treated at a safety-net versus a tertiary academic institution.
Methods
We conducted an IRB approved, retrospective review of adult patients with cHL treated within our healthcare system between 2009 and 2023. Hypothesis testing was performed using Chi-square test or Fisher's exact test for categorical variables and t-test or Wilcoxon rank sum test for continuous variables, with a 2-tailed P value ≤ .05. Survival analysis for progression-free (PFS) and overall survival (OS) was performed using Kaplan-Meier method and evaluated by log-rank test. Univariate Cox proportional hazard regression was used to assess the relationship between pre-specified variables and the primary endpoints of PFS and OS. All statistical testing was done using R version 4.3.1.
Results
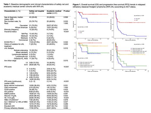
There was a total of 230 adult patients with cHL between the two hospital systems. Seventy-one patients (31%) in the study cohort had R/R cHL (safety-net hospital, n=30 [42%] and tertiary academic medical center, n=41 [58%]). Patients treated at the safety-net hospital were predominantly male (p=0.033), Hispanic (p=0.014) and uninsured (p<0.001) and had higher rates of HIV/AIDS (p<0.001). They also had more advanced stage disease (p=0.015), higher IPS score (p<0.001), and bone marrow involvement (p=0.031) (Table 1). Primary refractory cHL constituted 17/30 (57%) at the safety-net hospital and 22/41 (54%) at the academic medical center.
Only 7/30 (23%) patients treated at the safety-net hospital received ASCT compared to 30/41 (73%) at the academic medical center (p<0.001). The main barriers to ASCT for the former were predominantly financial and social barriers (>50%) while those at the latter were based on patient/physician choice due to anticipated adverse effects and comorbid conditions. Following ASCT, 2/7 (29%) safety-net patients received BV maintenance therapy compared to 11/30 (37%) academic center patients. Rates of relapse post-ASCT were 29% (2/7) and 53% (16/30) respectively. Five patients (31%) at the academic center received allogeneic SCT at relapse post-ASCT.
Univariate Cox regression analysis showed that advanced age at diagnosis and EBER positivity were associated with inferior OS (HR=1.043, p=0.004; HR=4.205, p=0.014) but not PFS (HR=1.004, p=0.699; HR=1.317, p=0.352). Higher IPS score and high ECOG performance status adversely impacted OS (HR=1.578, p=0.011; HR=10.280, p=0.025) and PFS (HR=1.261, p=0.016; HR=1.930, p=0.05). Receipt of SCT significantly improved OS (HR=0.211, p=0.016) and PFS (HR=0.333, p<0.001). This was reflected in the five-year OS of 90.2% versus 57.8% in patients receiving SCT versus those who did not. Notably, safety-net patients receiving ASCT (n=7) had a 5-year OS comparable to SCT recipients at the academic center (100.0% vs 87.7%) (Figure 1).
Conclusions
Our results show significant differences in treatment patterns and outcomes for R/R cHL patients at a safety-net versus a tertiary academic hospital. Even in the era of novel agents, ASCT significantly improves survival outcomes in R/R cHL. Thus, all eligible patients should be offered this curative treatment. In practice, however, socioeconomic barriers still pose significant barriers to optimal care, with less than 25% of safety-net patients having access to ASCT. Cost effectiveness may be another consideration as eligible patients barred from ASCT may need further treatment with expensive immunotherapies. Urgent policy measures are needed to mitigate these disparities experienced by safety-net hospitals.
Disclosures
Anderson:Janssen: Consultancy, Honoraria, Membership on an entity's Board of Directors or advisory committees, Research Funding; Celgene: Consultancy, Honoraria, Membership on an entity's Board of Directors or advisory committees, Research Funding; Bristol Myers Squibb: Consultancy, Honoraria, Membership on an entity's Board of Directors or advisory committees, Research Funding; Amgen: Consultancy, Honoraria, Membership on an entity's Board of Directors or advisory committees; GlaxoSmithKline: Consultancy, Honoraria, Membership on an entity's Board of Directors or advisory committees; AbbVie: Consultancy, Honoraria, Membership on an entity's Board of Directors or advisory committees; Beigene: Consultancy, Honoraria, Membership on an entity's Board of Directors or advisory committees; Cellectar: Consultancy, Honoraria, Membership on an entity's Board of Directors or advisory committees; Sanofi: Consultancy, Honoraria, Membership on an entity's Board of Directors or advisory committees; Prothena: Consultancy, Honoraria, Membership on an entity's Board of Directors or advisory committees. Kaur:Abbvie: Research Funding; BMS: Consultancy, Research Funding; Sanofi: Consultancy; Arcellx: Consultancy, Research Funding; Janssen: Consultancy, Research Funding; Pfizer: Consultancy; Kedrion: Consultancy; Cellectar: Consultancy. Madanat:Novartis: Honoraria; Rigel Pharmaceuticals: Honoraria; Blueprint Medicines: Consultancy, Honoraria, Other: travel reimbursement; OncLive: Honoraria; Taiho oncology: Honoraria; MD Education: Honoraria; GERON: Consultancy; Sierra Oncology: Honoraria; Morphosys: Honoraria, Other: travel reimbursement; Stemline therapeutics: Honoraria. Awan:Pharmacyclics LLC, an AbbVie Company.: Other: Contracted Research; Janssen, Gilead, Kite pharmaceuticals, Karyopharm, MEI Pharma, Verastem, Incyte, Johnson and Johnson, Merck, Epizyme, Loxo Oncology, Adaptive Biotechnologies, Genmab: Other: Consulting Agreements; AstraZeneca Pharmaceuticals LP: Other: Advisory Committee; AbbVie Inc, ADC Therapeutics, AstraZeneca Pharmaceuticals LP, BeiGene Ltd, Bristol-Myers Squibb Company, Cardinal Health, Caribou Biosciences Inc, Celgene Corporation, Cellectar Biosciences Inc, DAVA Oncology, Epizyme Inc, Genentech, a member of the Roche: Other: Consulting Agreements.
